This file type includes high resolution graphics and schematics when applicable.
Compact filtering can serve the growing number of wireless applications requiring frequency allocations that must be isolated for effective use. Through the design and fabrication of a novel stub-loaded stepped-impedance resonator (SL-SIR), it was possible to develop a compact quad-band bandpass filter (BPF) approximately the size of a conventional, single-passband BPF. To demonstrate the design method, a BPF with passbands centered at 1.5, 2.5, 3.5, and 5.2 GHz was designed and fabricated; good agreement between simulated and measured performance parameters was observed.
Demand will increase for BPFs with multiple passbands as modern multiband wireless communications systems continue to expand globally. A great deal of research has focused on the development of multiple-band BPFs, although much of this work has covered filters with two or three passbands.1-10 As an example, ref. 9 details the design of a triband BPF created by combining two quarter-wavelength SIRs.
A triband BPF can also be realized by using a three-section SIR to achieve a higher degree of design freedom.10 With the continued growth of wireless applications, quad-band BPFs have gained increasing attention as a compact solution for isolating multiple wireless bands. However, the design of a quad-band BPF is challenging due to the limited degrees of freedom in its design parameters.
The number of methods for realizing quad-band BPFs has been limited, with reported design methods classified into three basic approaches. The first involves introducing transmission zeros inside the passbands of a dual-band BPF to split the two passbands into four.11 The second approach is to cascade two types of dual-band BPFs or multiple resonators with different resonant frequencies, forming a quad-band filter.12, 13 The third approach involves the use of a single quad-mode resonator.14 Among these three schools of thought, the third method, with its single resonator, enables the design of a compact quad-band BPF and is an appealing approach for creating filters with compact size requirements.
Based on a single stub-loaded SIR (SL-SIR), a compact quad-band BPF was designed and fabricated for study. The four independent passbands can be easily modified by changing the resonator dimensions. The performance of the proposed SL-SIR quad-band filter was analyzed theoretically and with the aid of computer-aided-engineering (CAE) simulation software. Measured results show good agreement with the computer-simulated results.
Figure 1a shows the geometry of the SL-SIR. Since the resonator is symmetrical to the T-T′ plane, the odd-even-mode excitation method can be implemented. Based on microwave network knowledge, the input impedance can be expressed as:
where β is the propagation constant. For odd-mode excitation, the equivalent circuit is a one-quarter-wavelength resonator with one end grounded, as shown in Fig. 1b. For ZL = 0, the input impedance of the odd-mode equivalent circuit can be found by Eq. 2:
where
From the resonant condition of Yin0 = 0, the odd-mode resonant frequency can be deduced by means of Eq. 3:
where
c = the speed of light in free space and
εe = the effective dielectric constant of the printed circuit substrate material.
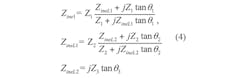
For even-mode excitation, the equivalent circuit shown Fig. 1c contains three resonant circuits: a quarter-wavelength resonator with one end grounded and two half-wavelength resonators with one end open, as shown in Figs. 1d, e, and f. The input impedance in path I of the even-mode equivalent circuit can be deduced by means of Eq. 4:
From the resonant condition of Yine1 = 0, the resonant frequency in path I of the even-mode equivalent circuit can be deduced as:
where
Z1 = Z2 = Z3 is assumed for simplicity. Using the same method, the resonant frequencies of the other even-mode equivalent circuits can be found by applying Eqs. 6 and 7:
The resonant frequencies of these circuit structures can be determined by the electrical length and impedance ratios. Compared with a normal stub-loaded resonator, the proposed structure provides four resonant frequencies simultaneously, with a relative high degree of freedom in adjusting the locations of the resonant modes.
Figure 2 shows the resonator characteristics of the proposed SL-SIR under weakly capacitive coupling, as modeled by the HFSS 11.0 electromagnetic (EM) simulation software from Ansoft Corp. Figure 3 shows the even-mode and odd-mode frequency characteristics, respectively, for various resonator dimensions. As can be seen, the bandwidths of the four passbands increase simultaneously as dimension L1 decreases.
However, the three even-mode resonant frequencies can be controlled independently. Moreover, the resonant frequencies can be controlled by changing the impedance ratios. The simulated and analyzed results for the SL-SIR are in good agreement; they show that, by appropriately adjusting resonator dimensions, four bands can be achieved at four desired frequencies.
Figure 4 shows the configuration of the proposed quad-band BPF. In the filter realization, for the purpose of improving passband selectivity and isolation, two spiral slots are introduced in the input/output (I/O) port, which can generate two transmission zeros on both sides of the third passband. To reduce filter size, the open-circuited stubs are folded. The SL-SIR quad-band BPF was fabricated on RT/duroid 5880 printed-circuit-board (PCB) from Rogers Corp., with thickness of 1.0 mm and dielectric constant of 2.2.
The filter/resonator dimensions were selected as follows:
W0 = 3.0 mm;
W1 = 0.9 mm;
W2 = 0.9 mm;
W3 = 0.2 mm;
W4 = 0.6 mm;
W5 = 0.4 mm;
W6 = 0.4 mm;
W7 = 1.0 mm;
W8 = 0.3 mm;
W9 = 0.5 mm;
L1 = 10.0 mm;
L2 = 10.9 mm;
L3 = 2.35 mm;
L4 = 6.5 mm;
L5 = 16.2 mm;
L6 = 2.4 mm;
L7 = 3.0 mm;
L8 = 3.5 mm;
L9 = 4.7 mm;
Wgap1 = 0.25 mm;
Wgap1 = 0.25 mm; and
Wgap1 = 1.2 mm.
The length and width of the spiral slot on the left side of Fig. 1 is LS1 = 19.8 mm and WS1 = 0.2 mm. The length and width of the spiral slot on the right side of Fig. 1 is LS2 = 14.5 mm and WS2 = 0.2 mm. The bandwidth can be controlled by Wgap2. As Fig. 5 shows, the bandwidth increases as Wgap2 decreases.
The fabricated BPF was characterized by means of a model N5230A vector network analyzer (VNA) from Agilent Technologies (now Keysight Technologies). Figure 6 offers a comparison between computer simulated and measured results. The fabricated filter has four passbands centered at 1.5, 2.5, 3.5, and 5.2 GHz with 3-dB fractional bandwidths of 13.7, 9.3, 16.8, and 4.6%. The measured minimum insertion losses are 0.58, 1.35, 1.25, and 1.35 dB, respectively, while the return loss of each passband is better than -10 dB.
The depth of all the transmission zeros among each passband are below -25 dB, which can improve passband selectivity and result in high isolation. The deviations of the measurements from the simulations are expected mainly due to the reflections from the connectors and the finite substrate. Figure 7 contains a photograph of the fabricated quad-band BPF. The overall size is about 46 × 17 mm, or 0.45λg × 0.15λg, where λg is the guided wavelength at 1.5 GHz. The table offers a comparison of the current quad-band BPF with other reported quad-band BPFs, indicating that the proposed BPF has good performance and achieves compact size.
In summary, a high performance quad-band BPF based on single SL-SIR has been proposed and designed. This filter is planar in structure, facilitating the design and reducing the fabrication cost. In addition, there is at least one transmission zero on each side of the passband, which improves the skirt selectivity. The predicted results are confirmed by the experiment, where good agreement is obtained. Due to its simple structure, compact size, and good performance, the proposed filter is attractive for use in future multiband wireless communication systems.
Acknowledgment
This work was supported by the scientific research project of Shaanxi Provincial Education Department (15JK1335).
Lei Chen, Researcher
School of Electronic and Information Engineering, Xi'an Technological University, Xi’an, 710032 People’s Republic of China
Feng Wei, Researcher
Chen Ding, Engineer
National Laboratory of Science and Technology on Antennas and Microwaves, Xidian University, Xi’an 710071, People’s Republic of China
References
1. Feng Wei, Lei Chen, and Xiao-Wei Shi, “Compact Dual-Mode Dual-Band Bandpass Filter with Wide Stopband,” Journal of Electromagnetic Waves and Applications, Vol. 26, Nos.11-12, 2012, pp. 1,441-1,447.
2. Y. Zhu and J. Li, “Design of cross-coupled dual-band bandpass filter using stub-loaded open-loop resonators with different bandwidth ratios,” Journal of Electromagnetic Waves and Applications, Vol. 26, Nos.11-12, 2012, pp. 1,492-1,499.
3. Q. Cao and G. Wang, “Dual-mode dual-band filter with flexible frequency ratio using degenerate modes of ring resonator,” Journal of Electromagnetic Waves and Applications, Vol. 26, No. 10, 2012, pp. 1,381-1,387.
4. M. Wang, X. Li, and H. Wang, “Dual-band and harmonic suppression of filter designs based on asymmetric half-wavelength resonator,” Journal of Electromagnetic Waves and Applications, Vol. 26, No.16, 2012, pp. 2,192-2,201.
5. J. Xu, C. Miao, and W. Wu, “A compact and high isolation dual-mode dual-band bandpass filter with tunable transmission zeros,” Journal of Electromagnetic Waves and Applications, Vol. 26, Nos.17-18, 2012, pp. 2,390-2,397.
6. C.-G. Sun, L.-Y. Feng, and H.-X. Zheng, “Design of single-and dual-band bandpass filters using compact open loop resonator,” Journal of Electromagnetic Waves and Applications, Vol. 26, Nos.11-12, 2012, pp. 1,397-1,406.
7. C.-S. Ye, Y.-K. Su, and M.-H. Weng, “New compact tri-band bandpass filter with transmission zeros designed by using stub-loaded resonators,” Journal of Electromagnetic Waves and Applications, Vol. 26, Nos.17-18, 2012, pp. 2,277-2,283.
8. L. Wang and B.-R. Guan, “A novel high selectivity dual-band band-pass filter with inductive source–load coupling,” Journal of Electromagnetic Waves and Applications, Vol. 26, No.13, 2012, pp. 1,734-1,740.
9. C.-H. Lee, C.-I. G. Hsu, and H.-K. Jhuang, “Design of a new tri-band microstrip BPF using combined quarter-wavelength SIRs,” IEEE Microwave and Wireless Components Letters, Vol. 16, No.11, 2006, pp. 594-596.
10. C.-I. G. Hsu, C.-H. Lee, and Y.-H. Hsieh, “Tri-band bandpass filter with sharp passband skirts designed using tri-section SIRs,” IEEE Microwave and Wireless Components Letters, Vol. 18, No.1, 2008, pp. 19-21.
11. L.-Y. Ren, “Quad-band bandpass filter based on dual-plane microstrip/DGS slot structure,” Electronic Letters, Vol. 46, No.10, 2010, pp. 691-692.
12. C.M. Cheng and C.F. Yang, “Develop Quad-Band (1.57/2.45/3.5/5.2 GHz) Bandpass Filters on the Ceramic Substrate,” IEEE Microwave and Wireless Components Letters, Vol. 20, No.5, 2010, pp. 268-270.
13. W. Hung-Wei and Y. Ru-Yuan, “A New Quad-Band Bandpass Filter Using Asymmetric Stepped Impedance Resonators,” IEEE Microwave and Wireless Components Letters, Vol. 21, No. 4, 2011, pp. 203-205.
14. J.Y. Wu and W.H. Tu, “Design of quad-band bandpass filter with multiple transmission zeros,” Electronic Letters, Vol. 47, No. 8, 2011, pp. 502-503.
15. J.C. Liu, J.W. Wang, B.H. Zeng, and D.C. Chang, “CPW-fed dualmode double-square-ring resonators for quad-band filters,” IEEE Microwave and Wireless Components Letters, Vol. 20, No. 3, 2010, pp. 142-144.
This file type includes high resolution graphics and schematics when applicable.


















