Easy Digital-Filter Applications for Not-So-Easy RF System Designs (Download)
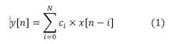
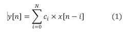
Both digital filters and analog filters serve the same purpose—to ideally allow for certain frequency components to pass through undistorted while completely attenuating all other frequencies. Digital filters accomplish this by summing and weighting discrete signal samples and performing this operation over the length of the input array.
The discrete implementation shown in Equation 1 is referred to as a finite-impulse-response (FIR) filter. More taps, N, in an FIR filter means sharper responses, flatter pass bands, and steeper transition bands.

