Microstrip Antenna Maintains Low Profile
This file type includes high resolution graphics and schematics when applicable.
Microstrip antennas offer many benefits to high-frequency systems, including low profiles, light weight, small volume, and ease of integration with other RF/microwave components. Unfortunately, microstrip antennas have also been plagued by inherently narrow bandwidths, limiting their use in some applications. A number of approaches have been proposed to increase the operating bandwidths of these antennas, including increasing the substrate thickness, using different impedance-matching and feeding techniques, and using multiple resonators and slot antenna geometries.1-12 However, these methods tend to add to an antenna’s weight and volume, and can increase the fabrication cost.
Several newer, promising techniques have been proposed to enhance microstrip antenna bandwidth. U-slot rectangular patch antennas13,14—as well as U-shaped parasitic patch antennas15 with thick foam or substrate—have been found to provide wide bandwidths without enlarging antenna size. In addition, the use of shorting pins or shorting walls on the unequal arms of a U-shaped patch or L-probe feed antennas16,17 have helped achieve wideband impedance bandwidths while maintaining small antenna size. All of these microstrip antenna investigations have involved thick substrates, although low-profile broadband microstrip antennas are required in some applications, such as the conformal microstrip antenna or arrays. The current goal is to enhance the bandwidth of a microstrip antenna while using a thin substrate (less than 0.01λ0).
To meet this goal, a broadband low-profile microstrip patch antenna with a U-shaped parasitic element was investigated. This relatively compact antenna was fabricated on a substrate with thickness of 0.008λ0, where λ0 is the wavelength in air of the center frequency at 2.45 GHz. This new microstrip antenna was found to achieve a relatively larger impedance bandwidth than a conventional microstrip antenna while also featuring a low-profile mechanical design.
Figure 1(a) shows top and side views of the proposed antenna. For conformal applications, the antenna is constructed on a substrate with thickness (H = 1 mm) of 0.008λ0 and relative permittivity of 2.65. To achieve a wideband impedance match, two resonant modes should be excited simultaneously around the center frequency, with the return losses between the two resonant frequencies maintained below 10 dB.
The proposed antenna features a microstrip fed rectangular patch and a U-shaped parasitic element. The rectangular patch is designed to resonate at a lower frequency than the resonant modes. To maintain a desired resonant length with smaller size, the length of the main patch (LP is designed as 0.5λLg, with the width reduced to 0.25λLg, where λLg = the guided wavelength at the lower frequency. To produce another resonance at a higher frequency, a U-shaped parasitic element is added to surround the radiating and nonradiating edges of the main patch.
The resonant length of U-shaped patch can be controlled by adjusting its length (LU) and width (WU). Electromagnetic (EM) coupling between the main patch and parasitic patch is realized across the horizontal (GH) and vertical (GV) gaps. With a 50-Ω microstrip feed line, the low-profile antenna is convenient for integrating with other microwave components and conforming to the structure. In addition, the widths of the gaps (GH), GV, and GF)—together with the span of the feeding point, LF—have great impact on the impedance bandwidth.
This new antenna is designed to operate in the 2420-to-2484-MHz region. To cover this bandwidth, the positions of the two resonant frequencies should be close to the extreme frequency limits of the desired operating band. Therefore, the length and width of the main patch are designed to be close to 0.5λLg and 0.25λLg, respectively, at the lower resonant frequency (2430 MHz). Meanwhile the effective resonant length of the U-shaped patch—namely LU + 0.5WU - 0.5HU—is close to 0.5λHg at the higher resonant frequency of 2474 MHz.
The antenna has been optimized with the aid of the High Frequency Structure Simulator EM simulation software from Ansoft Corp. The final dimensions were set as LP = 38.5 mm; WP = 19.4 mm; LU = 33.6 mm; WU = 11.9 mm; HU = 1.7 mm; GV = 0.8 mm; GH = 1.8 mm; LF = 15.5 mm; WF = 2.73 mm; GF = 0.5 mm; and H = 1 mm. The ground and substrate size of the proposed antenna were defined as a length × width of 66 × 60 mm.
This file type includes high resolution graphics and schematics when applicable.
Parametric Considerations
This file type includes high resolution graphics and schematics when applicable.
In the parametric studies, six critical parameters with strong effect on the performances are given and discussed. The other parameters, such as the patch width (WP and WU), the ground size (L and W), substrate permittivity, and the substrate thickness (H) are kept the same as mentioned above. The return loss curves of the proposed antenna are shown in Figs. 2-7 as a function of frequency for different design parameters.
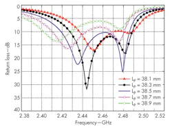
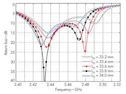
Figures 2 and 3 illustrate the influences of the patch lengths (LP and LU) for the resonant frequencies. It can be seen from Fig. 2 that the position of lower resonant frequency is obviously shifted downward as LP increases, but that of higher resonance frequency is slightly shifted. The variation in the case of increasing LU is contrary to that of increasing LP, as shown in Fig. 3. Comparing the two results shows that the position of lower resonant frequency is primarily controlled by the length (LP) of main patch; on the other hand, the length (LU) greatly affects the position of higher resonance frequency.
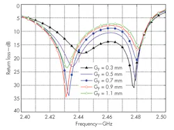
Figure 4 shows the effect of the vertical gap (GLV) on antenna performance. As can be seen, a resonant mode at the higher frequency gradually emerges with increasing vertical gap, indicating that the energy in the main patch can couple to the parasitic patch from the radiating edge via a suitable gap. In addition, the two resonant frequencies are away from each other as GV increases. The curves show that the vertical gap plays an important role in introducing a resonance at the higher frequency.
Figure 5 shows the effect of horizontal gap (GH) on antenna performance. It depicts that an increase in the horizontal gap causes considerable shift downwards in the higher resonant frequency and a moderate shift in the lower resonant frequency. It should be noted that the two resonant frequencies are close to each other with increasing GH, contrary to the effect of GV. As a result, the bandwidth decreases while the horizontal gap increases from 1.8 to 2.6 mm. This also shows a matching effect on the performance of the antenna.
Figure 6 shows variations in return loss with frequency at different feed-gap (GF) spacings. The variation in the positions of the two resonance frequencies is moderate with decreasing feed gap, while the return losses between them decrease significantly. The influence of GF indicates that when two resonant frequencies are excited simultaneously in the designated frequency region, the optimal performance of antenna can be obtained by tuning GF.
As shown in Fig. 7, the position of the feed point (LF) has a crucial effect on antenna performance. Obviously, it affects the amplitude of return loss at higher resonance frequency. This can be explained thusly: For the same value of LF, the position of the feeding point is closer to the bottom edge of parasitic element, compared with that of the main patch. Therefore, with a slight variation in feeding position, the impedance variation of higher resonant frequency is acute, whereas that of lower resonant frequency is relatively stable.
It can also be seen from Fig. 7 that when LF increases from 14.5 to 15.5 mm, the position of the lower resonant frequency shifts upward. It can be attributed to the decrease of the resonant region at lower frequency. As LF increases from 14.5 to 15.5 mm, the resonant region of the lower frequency changes from both the main and parasitic patches to only the main patch, with the parasitic patch finally working at the higher frequency. Hence, the bandwidth increases with optimal feed point position.
As mentioned above, the parameters LP, LU, and GH are important and sensitive in tuning the two resonant frequencies. The widths (GV and GF) of the gaps, together with the feed point position (LF), have great influence on the achievable bandwidth. Figure 8 shows return-loss curves for the proposed antenna and for a conventional microstrip antenna. The lower and higher resonances appear at 2435 and 2379 MHz with return loss values of 23.01 dB and 28.34 dB, respectively.
The proposed antenna achieves a 10-dB return-loss bandwidth of 67 MHz (2419 to 2486 MHz), whereas the return loss for the corresponding rectangular patch antenna is beyond the acceptable range of operation. The simulated results in Fig. 8 indicate that the EM coupling between the main patch and parasitic element strongly affect the obtainable impedance bandwidth.
This file type includes high resolution graphics and schematics when applicable.
The Prototype In Action
This file type includes high resolution graphics and schematics when applicable.
Figure 9 shows a prototype of the fabricated antenna. Its impedance characteristics were measured with a model 37269A vector network analyzer (VNA) from Anritsu Co. The measured impedance bandwidth is 66 MHz (2421 to 2487 MHz) and two separate resonant frequencies at 2441 and 2480 MHz with return loss values of 41.6 dB and 22.2 dB, respectively (Fig. 10). The measured antenna performance shows excellent agreement with the simulated return-loss curve. A few shifts in the bandwidth and positions of resonant frequencies are due to the fabrication tolerances.
The measured and simulated normalized radiation patterns at the first and second resonant frequencies are plotted in Fig. 11, where the “Co(S),” “Co(M),” and “Cross(M)” stand for simulated co-polarization, measured co-polarization, and measured cross-polarization, respectively. The proposed low-profile antenna exhibits good broadside radiation patterns in the E-plane (x-z plane) and H-plane (y-z plane) at each resonant frequency.
In the E-plane, the measured 3-dB beamwidth is 83 deg. at 2441 MHz and 84 deg. at 2480 MHz. It can be seen that the beam peaks of the E-plane are slightly shifted from the z-direction due to the feeding position on the main patch. In the H-plane, the measured 3-dB beamwidth is 93 deg. at 2441 MHz and 86 deg. at 2480 MHz. Symmetrical radiation patterns are obtained in the H-plane due to the bilateral symmetry of the antenna configuration. In addition, it is obvious that low cross-polarization levels are obtained in the two orthogonal planes. The antenna gain versus frequency was also measured, with measured peak gain of 5.6 dBi at 2.45 GHz.
As is well-known, the impedance bandwidth of a conventional microstrip antenna with a thin substrate (less than 0.01λ0) is quite narrow. To enhance its impedance bandwidth, a U-shaped parasitic patch was employed, and summaries of conventional and modified (with patch) microstrip antennas can be compared in Tables 1 and 2. Table 1 shows that the modified antenna provides a wider operating bandwidth than a conventional microstrip antenna—as much as 2.747 time greater. But Table 2 shows that the modified antenna exhibits similar radiation patterns to those of the conventional antenna, except with a slight decrease in gain. The modified U-slot antenna obtains maximum gain due to a larger ground plane. The proposed low-profile antenna is well suited for conformal communications terminals.
Zhifeng Yao, Lecturer
College of Mechanical and Electronic Engineering, Northwest A&F University, Yangling 712100, People’s Republic of China
Mintong Li, Associate Professor
College of Mechanical and Electronic Engineering, Northwest A&F University, Yangling 712100, People’s Republic of China
Chen Lin, Engineer
The 723 Institute of CSIC, Yangzhou 225001, People’s Republic of China
Dong Wang, Ph.D.
College of Mechanical and Electronic Engineering, Northwest A&F University, Yangling 712100, People’s Republic of China
This file type includes high resolution graphics and schematics when applicable.
References
This file type includes high resolution graphics and schematics when applicable.
1. D.H. Schaubert, D.M. Pozar, and A. Adrian, “Effect of microstrip antenna substrate thickness and permittivity: Comparison of theories and experiment,” IEEE Transactions on Antennas & Propagation, Vol. AP-37, June 1989, pp. 677-682.
2. H.F. Pues and A.R. Van De Capelle, “An impedance-matching technique for increasing the bandwidth of microstrip antennas,” IEEE Transactions on Antennas & Propagation, Vol. AP-37, No. 11, November 1989, pp. 1345-1354.
3. F. Crop and D.M. Pozar, “Millimeter-wave design of wide-band aperture-coupled stacked microstrip antennas,” IEEE Transactions on Antennas & Propagation, Vol. 39, No. 12, 1991, pp. 1770-1776.
4. S.H. Wi, Y.-B. Sun, I.-S. Song, S.-H. Choa, I.-S. Koh, Y.-S. Lee, and J.-G. Yook, “Package-Level integrated antennas based on LTCC technology,” IEEE Transactions on Antennas & Propagation, Vol. 54, August 2006, pp. 2190-2197.
5. T. Huynh and K.F. Lee, “Single layer single patch wideband microstrip antenna,” Electronic Letters, Vol. 31, No. 16, August 2006, pp. 1310-1312.
6. P. Abdulla and A. Chakrabarty, “Rectangular waveguide-fed hemispherical dielectric resonator antenna,” Progress In Electromagnetics Research, Vol. 83, 2008, pp. 225-244.
7. V.G. Kasabegoudar and K.J. Vinoy, “A broadband suspended microstrip antenna for circular polarization,” Progress In Electromagnetics Research, Vol. 90, 2009, pp. 353-368.
8. L. Zhang, Y. C. Jiao, G. Zhao, Y. Song, X. M. Wang, and F.-S. Zhang, “A novel CPW-FED monopole antenna for multiband operation,” Journal of Electromagnetic Waves and Applications, Vol. 22, Nos. 5-6, 2008, pp. 741-747.
9. M. Naghshvarian-Jahromi, “Novel miniature semi-circular-semi-fractal monopole dual band antenna,” Journal of Electromagnetic Waves and Applications, Vol. 22, Nos. 2-3, 2008, pp. 227-237.
10. H. Li, B.Z. Wang, and W. Shao, “Novel broadband reflectarray antenna with compound-cross-loop elements for millimeter-wave application,” Journal of Electromagnetic Waves and Applications, Vol. 21, No. 10, 2007, pp. 1333-1340.
Related Articles
• Low-Cost Substrate Supports Multiband Patch Antenna
• Teams Apply Paper-Folding Techniques to Next-Generation Antennas
• Upgrade Frequency-Selective Surface Filters From 2D To 3D
11. H. Aliakbarian and G.A.E. Vandenbosch, “Effect of Thick Ground on the Performance of Slot Coupled Circularly Polarized Patch Antenna,” Journal of Electromagnetic Waves and Applications, Vol. 25, Nos. 17-18, 2011, pp. 2309-2319.
12. M.T. Islam, N. Misran, and J.S. Mandeep, "Slot Loaded Circular Microstrip Antenna with Meandered Slits," Journal of Electromagnetic Waves and Applications, Vol. 25, No. 13, 2011, pp.1851-1862.
13. A.K. Shackelford, K.F. Lee, and K.M. Luk, “Design of small-size wide-bandwidth microstrip-patch antennas,” IEEE Antennas and Propagation Magazine, Vol. 45, No. 1, August 2003, pp. 75-83.
14. R. Bhalla and L. Shafai, “Resonance behavior of single U-slot and dual-slot antenna,” in Proceedings of the IEEE International Symposium on Antennas & Propagation, Vol. 2, August 2001, pp. 700-703.
15. J.A. Ansari and R.B. Ram, “Analysis of a compact and broadband microstrip patch antenna,” Microwave and Optical Technology Letters, Vol. 50, No. 8, August 2002, pp. 2059-2063.
16. Y.X. Guo, K.M. Luk, K.F. Lee, and R. Chair, “A quarter-wave U-shaped antenna with two unequal arms for wideband and dual-frequency operation,” IEEE Transactions on Antennas & Propagation, Vol. 50, August 2002, pp. 1082-1087.
17. R. Chair, C.L. Mak, and K.F. Lee, “Miniature Wide-Band Half U-Slot and Half E-Shaped Patch Antennas,” IEEE Transactions on Antennas & Propagation, Vol. 53, No. 8, August 2005, pp. 2645-2652.
This file type includes high resolution graphics and schematics when applicable.















