High-rejection filters are often useful in receivers and other systems where unwanted signal images must be removed without interfering with desired signals. By following a straightforward approach, it is possible to design planar filters for use at higher microwave frequencies. The technique relies on the positioning of transmission zeroes in order to selectively suppress the unwanted images. The approach also provides high suppression of spurious second-harmonic signals. To demonstrate the technique, it was applied to the design and fabrication of a compact Ku-band filter, with excellent agreement between computer simulations and measured results.
Filters with high rejection are important building-block components in many high-frequency systems that require suppression of unwanted image signals. Filters with high rejection can be formed through the use of cross-coupled structures where the cross coupling between nonadjacent resonators creates transmission zeroes for improved amplitude rolloff. However, using this approach for a planar filter would require four resonators in order to achieve good rolloff characteristics, with the penalty of high insertion loss due to the multiple resonators.
It is also possible to achieve high image rejection and low insertion loss through the design of traditional bandpass filters, such as interdigital, hairpin, end-coupled, and cavity configurations. Cavity filters, for example, provide high rejection but tend to be bulky and difficult to integrate with microwave integrated circuits (MICs). End-coupled and hairpin filters are commonly used at microwave frequencies, but also tend to be large and requiring an increased number of resonators. In addition, these bandpass filter types exhibit undesirable second-harmonic signal components. The proposed filter design approach overcomes the problems mentioned above by using a simple, resonatorbased structure that is compact by means of a minimal coupling section. It features good control over the transmission zeroes to achieve a desired level of rejection.
By controlling the location of the transmission zeroes, it is possible to design economical and effective bandpass filters. Usually, such structures offer low attenuation at lower frequencies and increased attenuation above a given cutoff frequency, with zero transmission at infinitely high frequencies. To have a better understanding of the working of transmission zeroes, consider the fifth-order lowpass filter shown in Fig. 1. At infinitely high frequencies, each inductor becomes an open circuit and each capacitor becomes a short circuit. The filter shown in Fig. 1 has five transmission zeroes at an infinite frequency. Similarly, a fifth-order highpass filter would have five transmission zeroes at an infinitely low frequency (DC). Recognizing the number of transmission zeroes for a bandpass filter is somewhat different, which can be demonstrated by considering the third-order bandpass filter of Fig. 2.
At DC, the series inductors and shunt capacitor have no effect.There are three transmission zeros at DC. At infinity, the series capacitors and shunt inductor vanish, and there are three transmission zeros. In a bandpass filter structure, the number of transmission zeroes at DC determines the selectivity of the filter below the passband; the number of transmission zeroes at infinity determines the selectivity of the filter above the passband. If the filter has an equal number of transmission zeroes at DC and an infinity, its transmission response is symmetrical. It is not necessary to design the filter with an equal number of transmission zeroes at both DC and infinity; if more attenuation is required above the passband than below, then the bandpass response can be designed with a greater number of transmission zeroes at infinity.
Transmission zeroes can also be introduced at frequencies other than DC and infinity to shape the filter response. This can be done by adding resonators which provide transmission zeroes at the required frequencies either before or after the passband or on either side of the passband.
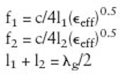
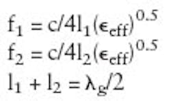
To demonstrate the use of the planar filter design approach, an example filter will be designed and fabricated. The design goal is a relatively narrow bandpass filter centered at 14.5 GHz, with more than 40 dB rejection at the image frequencies, i.e., at 13.0 and 16.7 GHz. The filter also exhibits minimal passband insertion loss. The simple structure is essentially two resonators facing each other at their open ends as shown in Fig. 3. Each hairpin resonator is one-half wavelength at the center frequency and tapped by using asymmetric feedlines. The positions of the taps can be calculated by using the simple equations:
The bandpass filter behavior is obtained with the two hairpin resonators arranged in such a fashion that they couple at the open ends of the structure. The resonators are formed from the inductance of the transmission line lengths (L1 and L2) and the gap capacitances (S). The minimum coupling gaps (which define the capacitances of the resonators) are much easier to control than traditional endcoupled or hairpin filter structures. The tapping positions at the input and at the output adds the transmission zeros at the desired frequencies, thus controlling the rejection. Figure 4 shows different structures that were considered for this example filter along with simulated results for the different structures in Fig. 5.
Structures 1 and 2 were simulated with alterations to the tapping point locations, while structure 3 was simulated with increased gap width between the resonators. The simulations of Fig. 5 show that as the offset between the input and output increases, the two transmission zeros appear close to the passband, providing high selectivity near the passband. However, this can result in an over-coupling condition. Beyond the coupling effects, caused by the tapping positions, coupling gap S also influences the coupling between the two resonators. From the simulations of Fig. 5, it can be seen that an increased coupling gap results in better quality factor (Q). Therefore, to avoid an over-coupled condition, the tapping positions and gap size should be carefully chosen. Once the tapping positions are found, the coupling gaps (S) can be optimized for the desired filter response.
The prototype filter was fabricated on am alumina substrate with dielectric constant of 9.8 and 10-mil thickness. Simulations were performed using the planar electromagnetic (EM) simulator Momentum from the Advanced Design System (ADS) suite of computer-aidedengineering (CAE) tools from Agilent Technologies (www.agilent.com). The fabricated filter was characterized using a PNA Series vector network analyzer from Agilent Technologies.
The measured results (Fig. 6) compare closely with the simulations. The additional 1-dB of insertion loss in the passband of the prototype filter compared to the simulations can be accounted for by connector and radiation losses (not included in the simulations). The measurements show excellent out-of-band rejection of more than 45 dB at the desired frequencies of 13.0 and 16.7 GHz, and rejection of better than 30 dB at the lower frequencies. The measured return loss for the filter is better than 20 dB, with second harmonics found to be 10 dB down.
The filter design approach covered here is simple to implement and provides high rejection without undesired coupling. The design technique is well suited for creating imagereject filters for applications requiring suppression of image signals in multipliers and other components; the design method also provides excellent second-harmonic suppression for use with amplifiers and frequency sources. The technique can be used to achieve higher levels of rejection by increasing the number of resonators.
Acknowledgments
The authors are grateful to Dr. V.K. Lakshmeesha (Group Director) and Dr. S. Pal (Deputy Director) for their kind support and encouragement. Also sincere thanks are due to the staff of the communication-systems group for their cooperation in realizing the filter structures.
References
- Joseph S. Wong, "Microstrip Tapped-Line Filter Design," IEEE Trans. MTT-27, 1, 1979, 44-50.
- Jia-Shen, G. Hong, and M.J. Lancaster, Microstrip Filters for RF/Microwave Applications.
- David M. Pozar, Microwave Engineering, 2nd ed.
