Satellite communications, such as the link provided by the Quicksat spacecraft for amateur radio operators at ultra-high frequency (UHF) and S-band, rely on high-performance antenna designs. Fortunately, a microstrip antenna design reported at S-band for remote sensing satellites can be adapted to provide the circularly polarized conical patterns required for effective data transmissions between the satellite and earth at both UHF and S-band frequencies.
For medium-altitude, near-earth-orbit satellites in sun-synchronous mode, data transmission can be optimized for the satellite's whole pass by means of an antenna pattern that varies to compensate for the satellite's path-loss profile (the radiation pattern is essentially the inverse of the path-loss profile). With all other parameters fixed, such an antenna will provide uniform data transmissions throughout the pass of the satellite. Based on an orbital height of 900 km and with an assumed earth radius of 6351 km, a 5-deg. edge of coverage elevation angle corresponds to about ±60 deg. at the antenna.
The ideal radiation pattern for range and atmospheric attenuation compensation has 6-dBi edge gain (for an S-band earth-based remote sensing antenna) with the capability of 0-dBi performance for future UHF Quicksat applications at ±60 deg., and an "inverse taper" to –6 dBi at S-band and –12 dBi at UHF at the nadir.
Many authors have described circularly polarized shaped beam antennas using a reflector and a feed system at X- and S-bands and at millimeter-wave frequencies.1-5 A microstrip antenna with higher-order mode excitation described by the current author can be designed for good performance at both UHF and S-band. It has several advantages over shaped reflector antenna systems. The microstrip design is a circular polarized conical beam antenna, which is conformal and simple in configuration. The directions of the antenna radiation peak are determined by both the substrate permittivity and the excited modes. The current author has used phased-array techniques to control the beam of these microstrip elements at low elevation angles at X-band.5,6 Reference 6 shows that an X-band reflector antenna can be replaced by microstrip elements while still meeting performance specifications for future RADARSAT and ERS satellites. The addition of an absorbing material to the antenna can help increase gain at low elevation angles for both frequency bands.
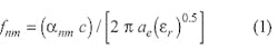
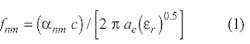
The antenna's circular microstrip radiating element consists of a radiating disk closely spaced above a ground plane. The antenna is modeled as a cylindrical cavity with magnetic walls, which can be resonant in the transverse magnetic (TM) modes. The resonant frequencies of the TMnm modes in the circular disk are given by7:
where :
εr = the relative permittivity of the substrate,
αnm = the mth zero of the derivative of the Bessel function of order n,
c = the velocity of light in free space, and
ae = the effective radius of the circular patch.
The effective radius of the circular patch is slightly larger than the physical radius. It is possible to calculate the effective area from Eq. 2:
where :
a = the physical radius of the microstrip and
h = the height from the ground plane (the thickness of the substrate).
Two feeds with proper angular spacing are required for circular polarization. The fields generated from the two feeds are orthogonal to each other under and outside the microstrip. To achieve circular polarization, these two probes must be fed with 90-deg. offset signals. The angular spacing between two feed probes is different for each different mode. The two neighboring modes of a resonant mode have the highest magnitude. These unwanted modes provide high cross polarization and asymmetric patterns. Unwanted modes should be suppressed to achieve low cross polarization and preserve beam symmetry. To suppress these unwanted modes, two additional feed probes are placed across from the two original feeds in a four-feed configuration.
When n is even, the total radiated electrical fields from these four-feed excited disks is given by Eqs. 3 and 47:
When n is odd, the total radiated electrical fields from these four-feed excited disks is given by Eqs. 5 and 67:
The far-field radiation due to all the modes (TMmn) can be written as:
where :
In the above equations,
K = 2 π/λo , Knm = Xnm/a , and q = 5d/γo,
where:
d = the feed probe diameter and
γo = the radial location of feed from center of the microstrip antenna.
The microstrip radiating element consists of a radiating structure spaced a small fraction of a wavelength above a ground plane, allowing radiation only into the upper half space. Figure 1 shows a circular element supported by a dielectric sheet. The fields between the disk and the ground plane are similar to those obtained by considering the antenna to be a narrow cavity with a magnetic wall along the perimeter. A circular disk microstrip is designed to operate in TM21 mode to generate a circularly polarized conical pattern at 437 MHz (UHF). The physical diameter (2a) of the antenna is 20.3 cm and the height (h) of the microstrip element from the ground plane is 0.3 cm. These parameters are calculated from Eqs. 1 and 2,where α21 for the TM21 mode is 3.054, fnm is 437 MHz, and εr is 10.7.7-9
The ground plane of the antenna is connected to the plane surface of the satellite body. However, there are many other instruments in proximity to the microstrip antenna, which can cause interference in the radiation pattern and axial ratio of the antenna. To overcome this type of interference and increase antenna gain near nadir, a ring of absorbing material was used.10 To preserve beam symmetry at UHF and to keep the axial ratio better than 0.5 dB (from 0 to ±60 deg.), unwanted modes must be suppressed. For this purpose, four feeds were used with a phase arrangement of 0, 90 , 0 , and 90 deg. for the TM21 mode (see the bottom part of Fig. 1). The four feeds and phase settings are achieved by means of a power divider, which is fed through a connector.
The UHF-band antenna beam must peak sharply on a ±60° off-axis annulus to provide compensation for range and atmospheric attenuation, shown by the solid line (1) in Fig. 2. The measured and calculated far-field patterns in Fig. 2 (437 MHz) are indicated by the solid line (2) and dotted line (3), respectively. The far-field pattern was measured in an anechoic chamber at AK Electromagnetique, Inc. (Les Coteaux, Quebec, Canada). The measured return loss is about 17 dB from 432 to 442 MHz. The measured axial ratio is less than 0.5 dB from 432 to 442 MHz.
Figure 3 shows a circular-disk microstrip antenna designed to operate in TM51 mode to generate a circularly polarized conical pattern at 2.3 GHz (S-band) The physical diameter (2a) of the antenna is 21.6 cm and the height of the microstrip element above the ground plane is 0.82 cm. These parameters were derived from Eqs. 1 and 2, where α51 for the TM51 mode is 6.415, fnm is 2.3 GHz, and εr is 1.4.
The diameter of the antenna ground plane is about 55 cm. To preserve beam symmetry at S-band and to maintain an axial ratio of better than 0.5 dB (from 0 to ±60 deg.), unwanted modes must be suppressed. Four feeds were used with the antenna, with a phase arrangement of 0, 90 , 180 , and 270 deg. for the TM51 mode. The bottom of Fig. 3 shows the phase arrangement, achieved via a power divider.11 An absorbing material ring10 was added close to the ground plane (Fig. 3) to improve antenna gain at nadir. The target antenna pattern is shown by the solid line (1) in Fig. 4. The antenna's far-field pattern was measured in an anechoic chamber at 2.3 GHz, with the solid (1) and dotted (2) lines in Fig. 4 indicating the measured and calculated radiation patterns, respectively. The return loss is about 19 dB from 2.25 to 2.35 GHz.
Figure 2 also shows the calculated curve at UHF, which does not meet the gain specification from 0 to ±3 deg. The measured radiation performance meets the gain specification at elevation angles of ±60 deg. with the absorber ring. Figure 2 shows good agreement between measured and calculated results. The maximum gain is 0.1 dBic at ±60 deg. while the minimum gain is –11 dBic at 5 deg.
The calculated curve meets the specification in the whole coverage angles except from 0 to ±3 deg. In Fig. 3, the ground plane of the microstrip antenna is more than 3λ and therefore, the measured and calculated curves provide better agreement than the smaller ground-plane case.6 In Fig. 4, the maximum gain is 6.5 dBic at ±60 deg. and minimum gain is –4.2 dBic at 5 deg.
Due to the absorbing material, the amplitude of the radiated field drops quickly from elevation angles greater than ±60 deg. in Figs. 2 and 4. The conductivity of the absorbing material was found to play a very important role in shaping the pattern from 0 to ±60 deg.
In summary, two circular microstrip antennas were designed and tested at UHF and S-band frequencies, respectively, to provide donut-shaped elevation patterns. Both antennas can generate a circularly polarized pattern (left-hand or right-hand circular polarization), with constant patterns over the angular range of 0 to ±60 deg.
REFERENCES
- A. Kumar, S-band highly shaped beam antenna for remote sensing satellite applications, Research Report, EETC Coventry, UK, 1979.
- A. Kumar and H.D. Hristov, Microwave cavity antennas, Artech House, Norwood, MA, 1989.
- C.C. Allen, "Shaped beam antenna for satellite direct readout communications," IEEE APS Symposium, 1980, pp, 101-104.
- V.K. Lalsheesha, L. Nicolas, V. Mahadevan, and S. Pal, "S-band shaped beam antenna for Indian Remote Sensing satellite – IRS," IEEE APS Symposium, 1985, pp. 629-632.
- A. Kumar, "Telemetry antenna for RADARSAT," IEEE IGARSS'89/12TH Int. Canadian Symposium on Remote Sensing, 1989, Vancouver, BC, Canada, 1989.
- A. Kumar, Microstrip antennas for remote sensing satellite applications at X-band, Research Report, AK Electromagnetique Inc., Quebec, Canada, 1988.
- A. Kumar, Fixed and Mobile Terminal Antennas, Chapter 5, pp 163-236, Artech House, Norwood, MA, 1991.
- A. Kumar, "Low loss dielectric material for microstrip antennas," IEEE Montech Conference on Antennas and Communications, Montreal, Canada, Sept. 1986.
- AK Electromagnetique Inc., Bid Proposal to CSA File 9F028-4-4200/A, Canada, February 2004.
- A. Kumar, "Acetylene black rubber reduces target RCS," Microwaves & RF, Vol. 26, No. 3, March 1987, pp. 85-86.
- A. Kumar, "Microstrip power divider to generate circular polarization in space antennas," IEEE Montech Conference on Antennas and Communications, Montreal, Canada, September 1986.
